 
波紋管法測長度的原理
1、體積變形向長度變形的轉換
對塑性階段的水泥基材料,采用長度來度量是沒有意義的,流體只能以體積來計量。如果流體的形狀固定,則流體的體積就可以以長度來計量。如圖1所示的波紋管具有特殊的特性。波紋管沿軸向方向的剛度與徑向方向的剛度相比忽略不計,換言之,沿軸向方向的變形能力遠大于沿徑向方向變形能力。對于這樣的波紋管,體積的變化將全部以長度變化的形式來體現。

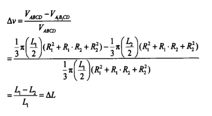
選取波紋管的結構單元ABCD,因為沿徑向的變形與軸向相比忽略不計,變形以后的結構單元為A、B、C、D,則單位體積的變形為:

通過上述幾何證明,如果流體與波紋管的變形能夠協同一致,即波紋管內的流體與波紋管本身構成一個變形的整體,則測量出來的波紋管的長度變形就是流體本身的變形。
2、波紋管內部空氣對于自收縮應變測試結果的影響

對比波紋管內空氣對自收縮應變測試結果可見,在14d齡期時,含有空氣的波紋管試件的自收縮較正常裝滿的波紋管試件的自收縮低。同樣,這種差異也主要發生在測試初期。在終凝之后7h左右,2條曲線開始以完全相同的規律發展,由此可知,終凝7h以后的自收縮應變的測試結果與波紋管內部的空氣無關。
3、波紋管對約束的影響
因為波紋管測長度的方式所測試的對象是連同模具在內的整體, 因此 約束具有3個層面的含義:
(1)水泥基材料與模具之間的內部約束 , 是驅動混凝土與模具協同變形的內力
(2)模具與支撐面之間的外部約束, 是阻礙 試件變形的外力
(3)模具 自身剛度的內部約束 , 是阻礙水泥基材料初始變形的內力。
比較如圖2所示的3種結構形式模具, 直型模 具與支撐面之間為全接觸, 因此變形時受到支撐面 的約束最大。方鋸齒形的模具相 比較而言減少了部 分的接觸面積, 受到支撐面的約束程度降低。 三角波紋管由于在橫截面上表現為點接觸, 接觸面積最 小, 因此受到支撐面 的約束最小。 直型的模具與內 部被測試件之間僅僅依靠靜摩擦力而聯結。 鋸齒形 的模具由于具有凹進 去的鋸齒, 加強了模具與被測 試件之間的咬合, 保障模具與試件之間的協同變形 。 此外, 在上述3種形式的模具中, 三角形的波紋管 相 比較而言結構形式更加類似于彈簧 , 在組成材料 相 同時, 具有更高的伸縮性 。 當然, 模具的變形能 力還與模具 自身材料的剛度 、 波紋管波形的尺寸有 關。 因此 , 采用三角鋸齒形波紋管結構形式能夠最 大程度地降低支撐面的外部約束, 增加被測試件與 模具 之 間 的內部 約束 , 降低 自身剛度對被測試件變形的約束, 保障模具和被測試件之間變形一致。
|